
※ 글을 시작하며
지구과학 임용고사를 준비하시는 분들께 도움이 될까 하여 개인적으로 공부한 자료들을 정리하여 블로그에 올리고자 합니다.
대학원에 있을 동안 다 할 수 있을 지 모르겠지만 최선을 다해 올릴 예정이며, 천문을 시작으로 하겠습니다.
기본적으로 천천서 및 기본 천문학을 위주로 정리하여 올리되 단원의 순서는 천천서를 따르기로 합니다.
기본적 내용을 이미지 파일로 올려 바로 볼 수 있게 하되, PDF 파일도 함께 올려 보관 가능하도록 하겠습니다.
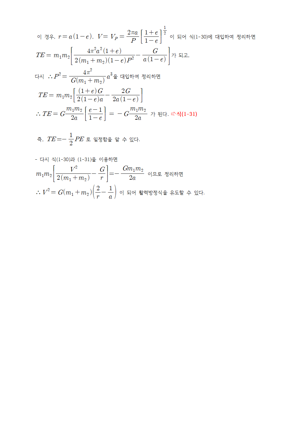
정리를 함에 있어 책에 생략된 과정을 제가 생각하여 쓴 경우도 있는데 틀릴 수도 있으니 잘 살펴보시기 바랍니다.
참고로 이미지는 그냥 올리는 겁니다. 썸네일 때문에.. 그럼 도움이 되길 바라며 글을 줄입니다.

| [천문]기본천문학 2장 구면천문학_좌표계1 (3) | 2019.04.18 |
|---|---|
| [천문]천문학 및 천체물리학 2장_태양계의 개관 (0) | 2019.04.02 |
| [영상]선인고등학교 청소년과학상황극 '톡신' 공연 영상 (0) | 2018.09.30 |
| [대기]Land/Sea, 바다에서 대기까지 (0) | 2018.06.10 |
| [대기]Top to bottom, 지구의 대기 (0) | 2018.06.10 |